• Предмет: Математика
  • Автор: Gagarin60
  • Вопрос задан 9 лет назад

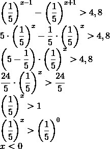
(1/5)^(x-1)-(1/5)^(x+1)>4,8 решить неравенства

Ответы

Ответ дал: Trover
0
left(frac15right)^{x-1}-left(frac15right)^{x+1} textgreater  4,8\5cdotleft(frac15right)^x-frac15cdotleft(frac15right)^x textgreater  4,8\left(5-frac15right)cdotleft(frac15right)^x textgreater  4,8\frac{24}5cdotleft(frac15right)^x textgreater  frac{24}5\left(frac15right)^x textgreater  1\left(frac15right)^x textgreater  left(frac15right)^0\x textless  0
Приложения:
Ответ дал: Gagarin60
0
без тебя бы пропал
Вас заинтересует