Ответы
Ответ дал:
0
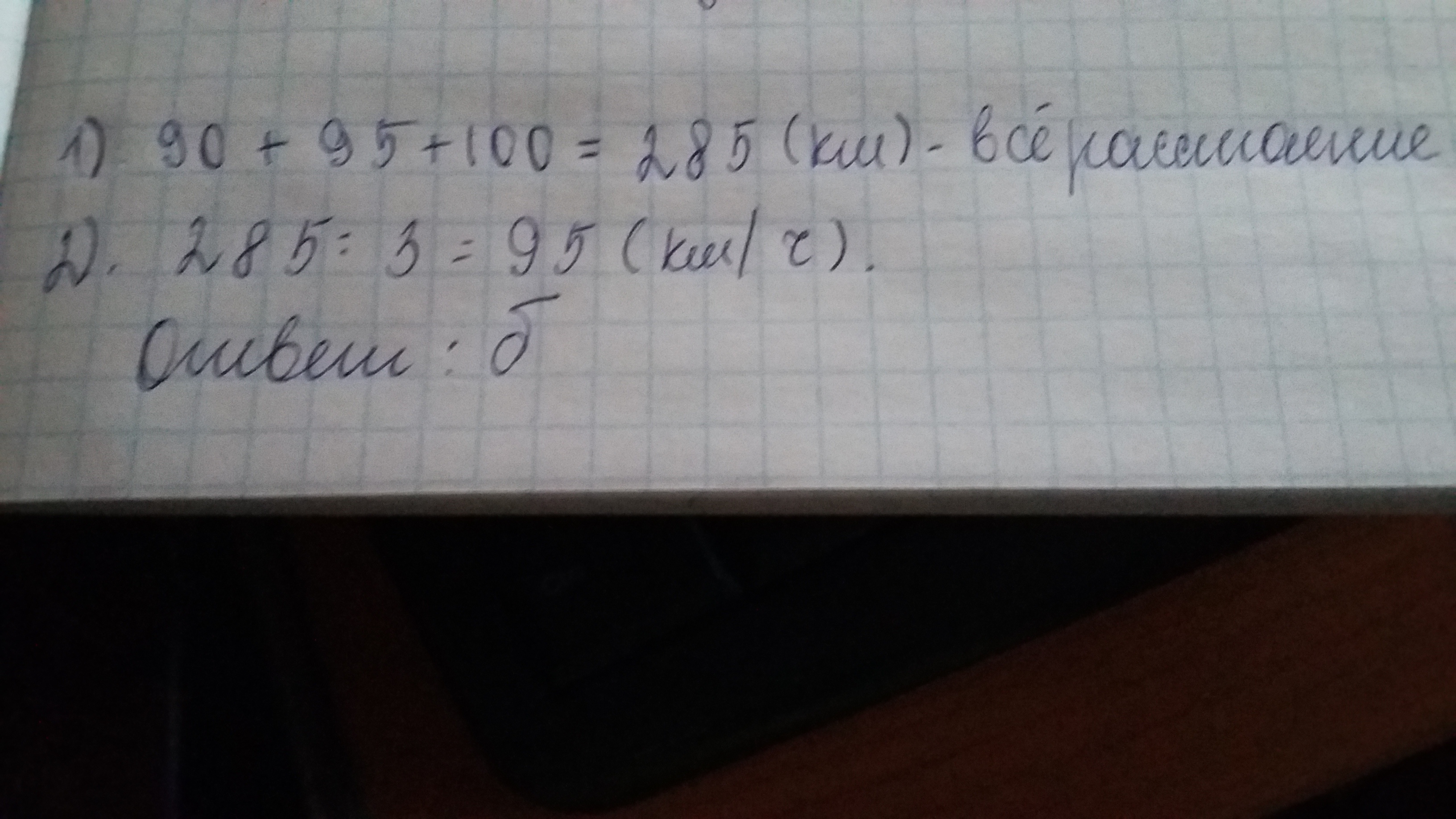
Смотри. Находим сред. арифметическое трех чисел (90, 100, 95). Для этого мы 90+95+100=285-сложенная скорость и потом делим на 3 т.к. числа 3 и получаем 95.
Ответ: средняя скорость машины 95 км/ч
Ответ: средняя скорость машины 95 км/ч
Ответ дал:
0
На то она и средняя. Ни самая большая, ни самая мелкая. То есть 95 среднее число между 90 и 100
Ответ дал:
0
Ответ Б,а делим на 3,т.к. сказано по условию
Приложения:

Вас заинтересует
7 лет назад
9 лет назад
9 лет назад