• Предмет: Математика
  • Автор: Topito500
  • Вопрос задан 9 лет назад

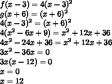
.Даны функции y=f(x) и y=g(x)=4x^2 ,а g(x)=x^2 При каких значениях аргументов выполняется равенство f(x-3)=g(x+6)?

Ответы

Ответ дал: dobrynina1927
0
Вот так  , правильный ответ
Приложения:
Вас заинтересует