• Предмет: Математика
  • Автор: vikushamur
  • Вопрос задан 9 лет назад

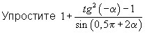
тригонометрия, проходили в прошлом году, сейчас повторение, тяжело все вспомнить
буду благодарна!

Приложения:

Ответы

Ответ дал: тема00009898
0
низнаю как тебе помоч
Ответ дал: AlinaKor14
0
Ох уж эта тригонометрия((9 Сама ничего не помню

Вас заинтересует