Ответы
Ответ дал:
0
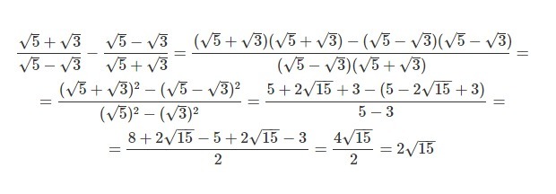
привести обе дроби к единому знаменателю, раскрыть скобки в числителях, провести вычитание
Приложения:

Ответ дал:
0
Здешний редактор формул не работает, поэтому пришлось написать решение в стороннем. Фото в приложении.
Приложения:

Вас заинтересует
2 года назад
7 лет назад
7 лет назад
9 лет назад
10 лет назад
10 лет назад