• Предмет: Алгебра
  • Автор: wkolnikt4wer
  • Вопрос задан 9 лет назад

Решите пожайлусто ,очень важно

Приложения:

Ответы

Ответ дал: 7funnyfox
0
Номер 5 Уровень2
1-д
2-а
3-г
4-в
Ответ дал: wkolnikt4wer
0
Да это я знаю,мне-бы 1 уровень
Ответ дал: 7funnyfox
0
Тебе ответы просто нужны или решения?
Ответ дал: wkolnikt4wer
0
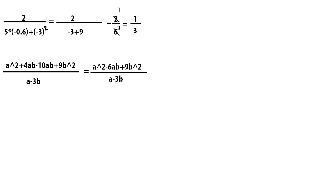
Решение
Ответ дал: nikitaknss
0
Уровень 1
1)а
2)б
3)г
4)б

График искомой обратной пропорциональности соддержит точку А(0,5;4), поэтому справедливо равенство   4=k/0.5     k=4*0.5=2

 и искомая формула y=2/x

Приложения:
Ответ дал: wkolnikt4wer
0
А можешь сделать с объяснением ? ПЖ
Ответ дал: nikitaknss
0
Все
Ответ дал: nikitaknss
0
2 объяснить не смогу
Ответ дал: wkolnikt4wer
0
Окей
Ответ дал: wkolnikt4wer
0
Большое спасибо
Вас заинтересует