Ответы
Ответ дал:
0
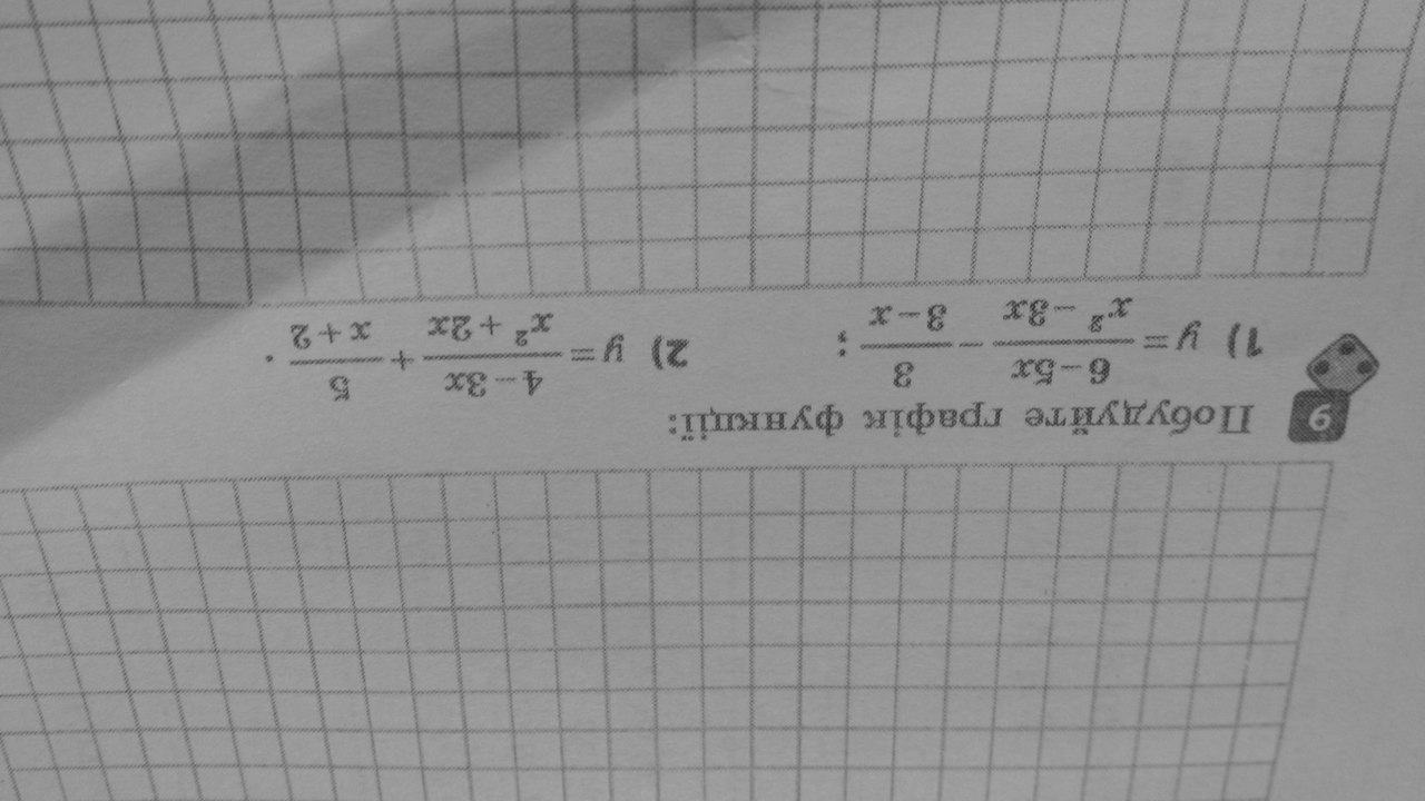
1) 6-5xx²-3x-33-x=6-5xx(x-3)-3-(x-3)=5x-6-x(x-3)-3x-x(x-3)=5x-6-3x-x(x-3)=
=2x-6-x(x-3)=2(x-3)-x(x-3)=-2x
2) 4-3xx²+2x+5x+2=4-3xx(x+2)+5xx(x+2)=4-3x+5xx(x+2)=4+2xx(x+2)=
=2(x+2)x(x+2)=2x
=2x-6-x(x-3)=2(x-3)-x(x-3)=-2x
2) 4-3xx²+2x+5x+2=4-3xx(x+2)+5xx(x+2)=4-3x+5xx(x+2)=4+2xx(x+2)=
=2(x+2)x(x+2)=2x
Вас заинтересует
2 года назад
7 лет назад
7 лет назад
10 лет назад
10 лет назад
10 лет назад