• Предмет: Алгебра
  • Автор: irinamali
  • Вопрос задан 9 лет назад

Хелп ми плизсрочно надо

Приложения:

Ответы

Ответ дал: AlekseyPrj
0
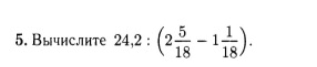
24,2:(2 5/18 - 1 1/18)= 24,2:(1 4/18)= 242/10:1 4/18=242/10 * 18/22=11*9/5*1= 99/5=19,8
Вас заинтересует