• Предмет: Математика
  • Автор: nsever2005
  • Вопрос задан 9 лет назад

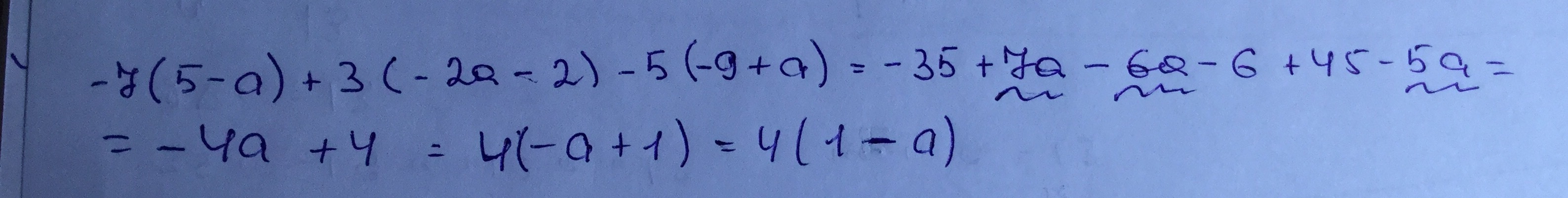
упрости выражение: −7(5−a)+3(−2a−2)−5(−9+a)

Ответы

Ответ дал: BJIADA
0
Ответ смотри во вложении
Приложения:
Вас заинтересует