Ответы
Ответ дал:
0
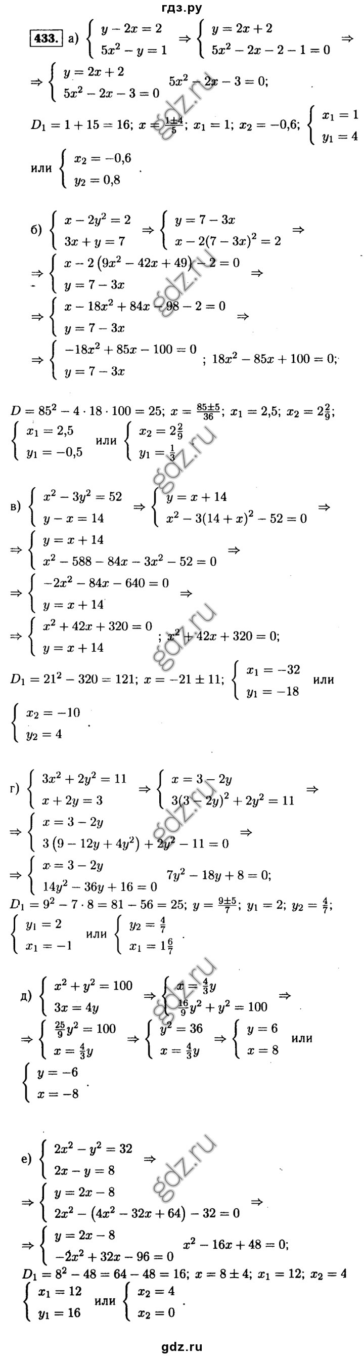
Вот решение и скрин.
y- 2x = 2
5x вторых - y = 1
y- 2x = 2
5x вторых - y = 1
Приложения:


Вас заинтересует
2 года назад
2 года назад
7 лет назад
7 лет назад
9 лет назад
9 лет назад
10 лет назад