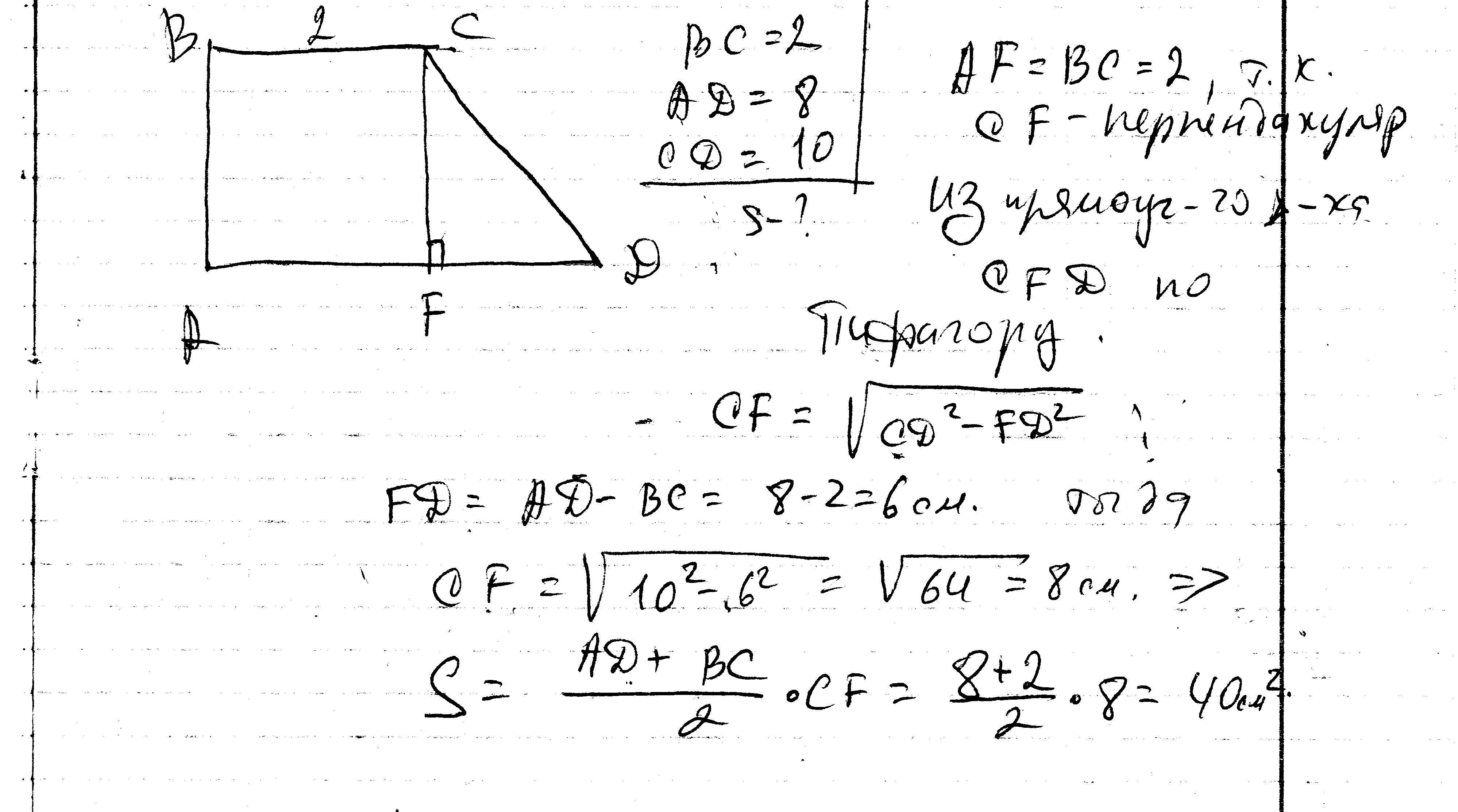
Найдите площадь прямоугольной трапеции основания которой равны 2 см и 8 см,а большая боковая сторона 10 см
Ответы
Ответ дал:
0
Решение в скане.................
Приложения:

Вас заинтересует
2 года назад
2 года назад
7 лет назад
9 лет назад
10 лет назад