Ответы
Ответ дал:
0
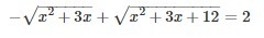
ОДЗ
{x²+3x≥0⇒x(x+3)≥0⇒x≤-3 U x≥0
{x²+3x+12≥0⇒D<0⇒x∈R
x∈(-∞;-3] U [0;∞)
x²+3x=a
√(a+12)-√a=2
возведем в квадрат
a+12-2√(a²+12a)+a=4
2√(a²+12a)=2a+8
√(a²+12a)=a+4
возведем в квадрат
a²+12a=a²+8a+16
12a-8a=16
4a=16
a=4
x²+3x=4
x²+3x-4=0
x1+x2=-3 U x1*x2=-4
x1=-4 U x1=1
{x²+3x≥0⇒x(x+3)≥0⇒x≤-3 U x≥0
{x²+3x+12≥0⇒D<0⇒x∈R
x∈(-∞;-3] U [0;∞)
x²+3x=a
√(a+12)-√a=2
возведем в квадрат
a+12-2√(a²+12a)+a=4
2√(a²+12a)=2a+8
√(a²+12a)=a+4
возведем в квадрат
a²+12a=a²+8a+16
12a-8a=16
4a=16
a=4
x²+3x=4
x²+3x-4=0
x1+x2=-3 U x1*x2=-4
x1=-4 U x1=1
Ответ дал:
0
...............................
Приложения:

Вас заинтересует
2 года назад
7 лет назад
9 лет назад
10 лет назад