Ответы
Ответ дал:
0
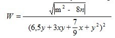
Ввод: x ^ y ^ m ^ n С/П.
Вывод: W или ошибка, если знаменатель равен 0.
П3 -> П2 -> П1 -> П0 ИП1 6 , 5 * ИП0 ИП1 3 * * + 7 ^ 9 / ИП0 * + ИП1 x^2 x^2 x#0 41 ИП2 x^2 8 ИП3 * - |x| КвКор / 1/x С/П 0 ^ 0 / С/П
Вывод: W или ошибка, если знаменатель равен 0.
П3 -> П2 -> П1 -> П0 ИП1 6 , 5 * ИП0 ИП1 3 * * + 7 ^ 9 / ИП0 * + ИП1 x^2 x^2 x#0 41 ИП2 x^2 8 ИП3 * - |x| КвКор / 1/x С/П 0 ^ 0 / С/П
Вас заинтересует
2 года назад
7 лет назад
7 лет назад
10 лет назад
10 лет назад
10 лет назад