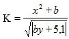
5. Опишите переменные, необходимые для вычисления:
при x=-5.3, y=7.42

Приложения:

Ответы

Ответ дал: LoveДятелВуди
0
Для вычисления чего ? Уточни.

Ответ дал: Dariwz
0
Для вычесления K
Вас заинтересует