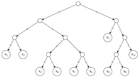
Будем использовать кодирование с помощью дерева, в листьях которого написаны буквы, а на каждом ребре — либо 0 либо 1 (см. рисунок). Чтобы закодировать букву, нужно пройти по дереву от корня до этой буквы, записав все цифры на ребрах этого пути. Мы закодировали фразу “мистерфокссмотрелкомикс” и получили последовательность:
000010110010001110110110100111110100000010100011001111100111001000010111110
Определите, какая переменная какой букве соответствует в дереве. В ответ запишите подряд без пробелов 10 букв, соответствующих $x_1$, $x_2$, … , $x_{10}$ .
Приложения:
Ответы
Ответ дал:
0
МОТИРЕСЛФК
000 м
0101 и
10 с
0100 т
0111 е
0110 р
1101 ф
001 о
111 к
10 с
10 с
000 м
001 о
0100 т
0110 р
0111 е
1100 л
111 к
001 о
000 м
0101 и
111 к
10 с
000 м
0101 и
10 с
0100 т
0111 е
0110 р
1101 ф
001 о
111 к
10 с
10 с
000 м
001 о
0100 т
0110 р
0111 е
1100 л
111 к
001 о
000 м
0101 и
111 к
10 с
Вас заинтересует
3 года назад
3 года назад
7 лет назад
10 лет назад
10 лет назад