• Предмет: Математика
  • Автор: Ogrebatel
  • Вопрос задан 9 лет назад

комплексные числа, помогите пжлст

Приложения:

Ответы

Ответ дал: NNNLLL54
0
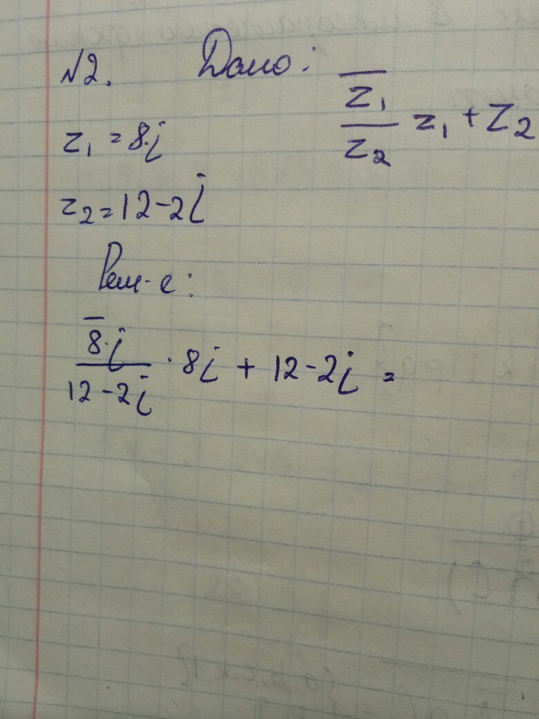
z_1=8i; ,; ; z_2=12-2i; ,; ; overline {z_1}=-8i\\ frac{overline {z_1}}{z_2}cdot z_1+z_2= frac{-8i, cdot , 8i}{12-2i}  +12-2i= frac{-64i^2cdot (12+2i)}{(12-2i)(12+2i)}+12-2i=\\=frac{64(12+2i)}{144-4i^2} +12-2i= frac{128(6+i)}{144+4}+12-2i= frac{128(6+i)}{148} +12-2i=\\= frac{32(6+i)}{37} +12-2i= frac{192}{37} + frac{32}{37}i+12-2i= frac{636}{37} -frac{42}{37}  i
Вас заинтересует