• Предмет: Алгебра
  • Автор: Svetka1monetka
  • Вопрос задан 9 лет назад

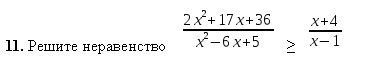
Решите уравнение, пожалуйста! Баллами не обижу!

Приложения:

Ответы

Ответ дал: ArturMetzler
0
числитель второй строчки может быть переписан из источника. Я просто сделал лишнее упрощение, которое потом не пригодилось

Приложения:
Вас заинтересует