Ответы
Ответ дал:
0
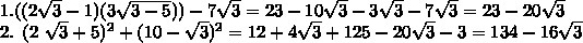
В первом примере что-то со скобками напутано.Если я переписала условия первого примера не правильно,то могу перерешать)))
Приложения:

Ответ дал:
0
Спасибо большое))
Ответ дал:
0
Я ошиблась, ты всё правильно поняла
Ответ дал:
0
не за что)))
Вас заинтересует
2 года назад
7 лет назад
7 лет назад
9 лет назад
10 лет назад