Ответы
Ответ дал:
0
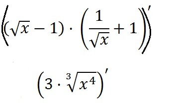
1) = (√x-1)'(1/√x +1)+(√x-1)(1/√x+1)'=(√x'-1')(1/√x +1)+(√x-1)((1/√x)'+1')=
(1/(2√x)-0)(1/√x +1)+(√x-1)(-1/(2x√x)+0)=(1/(2√x))(1/√x +1)+(√x-1)(-1/(2x√x))
=1/(2x) + 1/(2√x) - 1/(2x) +1/(2x√x)=(√x +1)/(2x√x)
2) = 3(4/3)x^((4/3)-1)=4∛x
(1/(2√x)-0)(1/√x +1)+(√x-1)(-1/(2x√x)+0)=(1/(2√x))(1/√x +1)+(√x-1)(-1/(2x√x))
=1/(2x) + 1/(2√x) - 1/(2x) +1/(2x√x)=(√x +1)/(2x√x)
2) = 3(4/3)x^((4/3)-1)=4∛x
Вас заинтересует
3 года назад
3 года назад
7 лет назад
10 лет назад
10 лет назад