(3/8-1/9)+25/36= , (8/9-5/6)+2/3= , (7/8-13/20)+9/10= , (7/18-1/12)+5/6= , (3/4-8/15)+17/20= , ЭТО ДРОБИ
Ответы
Ответ дал:
0
69/72,19/54,1 1/8,1 5/36,1 4/60
3/8- 1/9=27/72-8/72=19/72 отсюда получаем 19/72 + 25/36=19/72+50/72=69/72
вооооот,чтобы отнимать от одной дроби другую надо чтоб их нижнии части были равны,для этого нужно дроби домнажать на какое то число,но также,когда домнажаешь,то надо домнажать и верхнюю часть на то число на которое ты домножил нижнее
3/8- 1/9=27/72-8/72=19/72 отсюда получаем 19/72 + 25/36=19/72+50/72=69/72
вооооот,чтобы отнимать от одной дроби другую надо чтоб их нижнии части были равны,для этого нужно дроби домнажать на какое то число,но также,когда домнажаешь,то надо домнажать и верхнюю часть на то число на которое ты домножил нижнее
Ответ дал:
0
НАПИШИТЕ ОБЯСНЕНИЕ
Ответ дал:
0
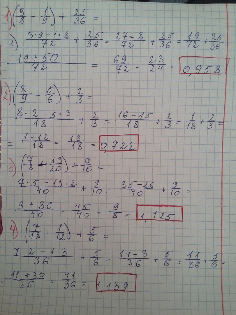
1)0.958
2)0.722
3)1.125
4)1.139
5)1.067
2)0.722
3)1.125
4)1.139
5)1.067
Приложения:
Ответ дал:
0
НАПИШИТЕ ОБЯСНЕНИЕ
Ответ дал:
0
посмотри фото
Вас заинтересует
7 лет назад
7 лет назад
10 лет назад
10 лет назад