• Предмет: Математика
  • Автор: fantom765
  • Вопрос задан 9 лет назад

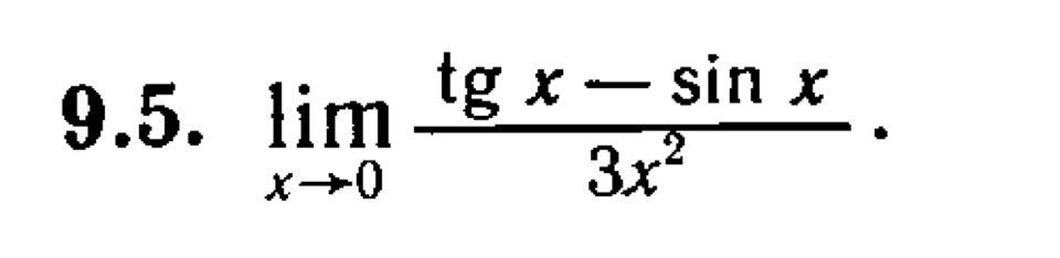
помогите найти предел

Приложения:

Ответы

Ответ дал: sweetburning
0
Используя разложение в ряд Тейлора или таблицу эквивалентности, получаем


Вас заинтересует