Ответы
Ответ дал:
0
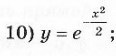
1) y'=e^(-x^2/2)*(-x^2/2)'=-xe^(-x^2/2)
2) y=x^1.5+x^0.5
y'=1.5sqrt(x)+1/(2sqrt(x))=(3x+1)/(2sqrtx)
3) y'
2) y=x^1.5+x^0.5
y'=1.5sqrt(x)+1/(2sqrt(x))=(3x+1)/(2sqrtx)
3) y'
Вас заинтересует
2 года назад
2 года назад
7 лет назад
7 лет назад
10 лет назад