• Предмет: Алгебра
  • Автор: fantom765
  • Вопрос задан 9 лет назад

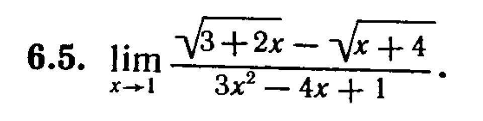
помогите найти предел

Приложения:

Ответы

Ответ дал: Djeka2602
0
Решение во вложении.
Приложения:
Вас заинтересует