Ответы
Ответ дал:
0
Смотри на прикрепленное изображение
Приложения:

Ответ дал:
0
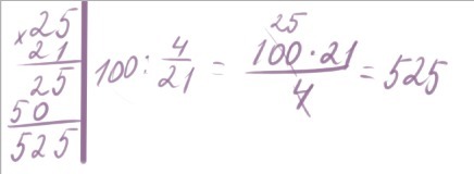
100:421
1) 1001*214=25*21=525
Там 100 и 4 сокращается так что там где 100 будет 25,а 4 уходит. И остается только 25*21.
1) 1001*214=25*21=525
Там 100 и 4 сокращается так что там где 100 будет 25,а 4 уходит. И остается только 25*21.
Приложения:

Вас заинтересует
2 года назад
2 года назад
7 лет назад
7 лет назад
9 лет назад
10 лет назад