Ответы
Ответ дал:
0
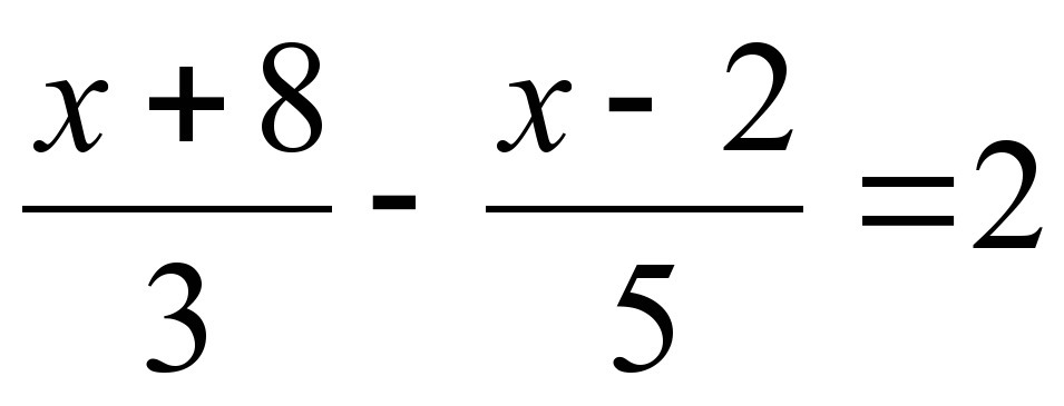
5(x+8)-3(x-2)=2*15
5x+40-3x+6=30
2x=30-46
2x=-16
x=-16:2
x=-8
5x+40-3x+6=30
2x=30-46
2x=-16
x=-16:2
x=-8
Ответ дал:
0
x+8/3-x-2/5=2 общий множитель, чтобы сократить знаменатели 15
5(x+8)-3(x-2)=2•15
5x+40-3x+6=30
2x=30-46
2x=-16
x=-16/2
x=-8
Ответ:-8
5(x+8)-3(x-2)=2•15
5x+40-3x+6=30
2x=30-46
2x=-16
x=-16/2
x=-8
Ответ:-8
Вас заинтересует
3 года назад
7 лет назад
10 лет назад
10 лет назад
10 лет назад
10 лет назад