• Предмет: Алгебра
  • Автор: gizon
  • Вопрос задан 9 лет назад

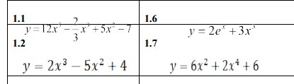
Найти производные следующих функций:

Приложения:

Ответы

Ответ дал: Flipendo
0
1) 60x^4-2x^2+10x
2) 6x^2-10x
3) 2e^x+15x^4
4) 12x+8x^3
Вас заинтересует