• Предмет: Алгебра
  • Автор: alinamalinachka
  • Вопрос задан 9 лет назад

Помогите пожалуйста !

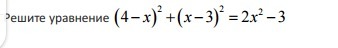
Приложения:

Ответы

Ответ дал: софья318
0
=16-х квадрат+ х квадрат-9=7
Вас заинтересует