• Предмет: Математика
  • Автор: glazaKarie
  • Вопрос задан 9 лет назад

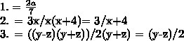
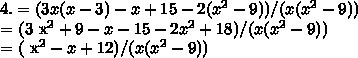
сократите дробь14a^b/49a^b^ ,3x/x^4x ,y^-z^/2y+2z

Приложения:

Ответы

Ответ дал: Humster2203
0
все задания или только 1??? 

Приложения:
Ответ дал: glazaKarie
0
прошу если возможно все задания
Ответ дал: glazaKarie
0
заранее спасибо
Ответ дал: Humster2203
0
сейчас сделаю
Ответ дал: Humster2203
0
все))
Вас заинтересует