• Предмет: Математика
  • Автор: TheRayJay
  • Вопрос задан 9 лет назад

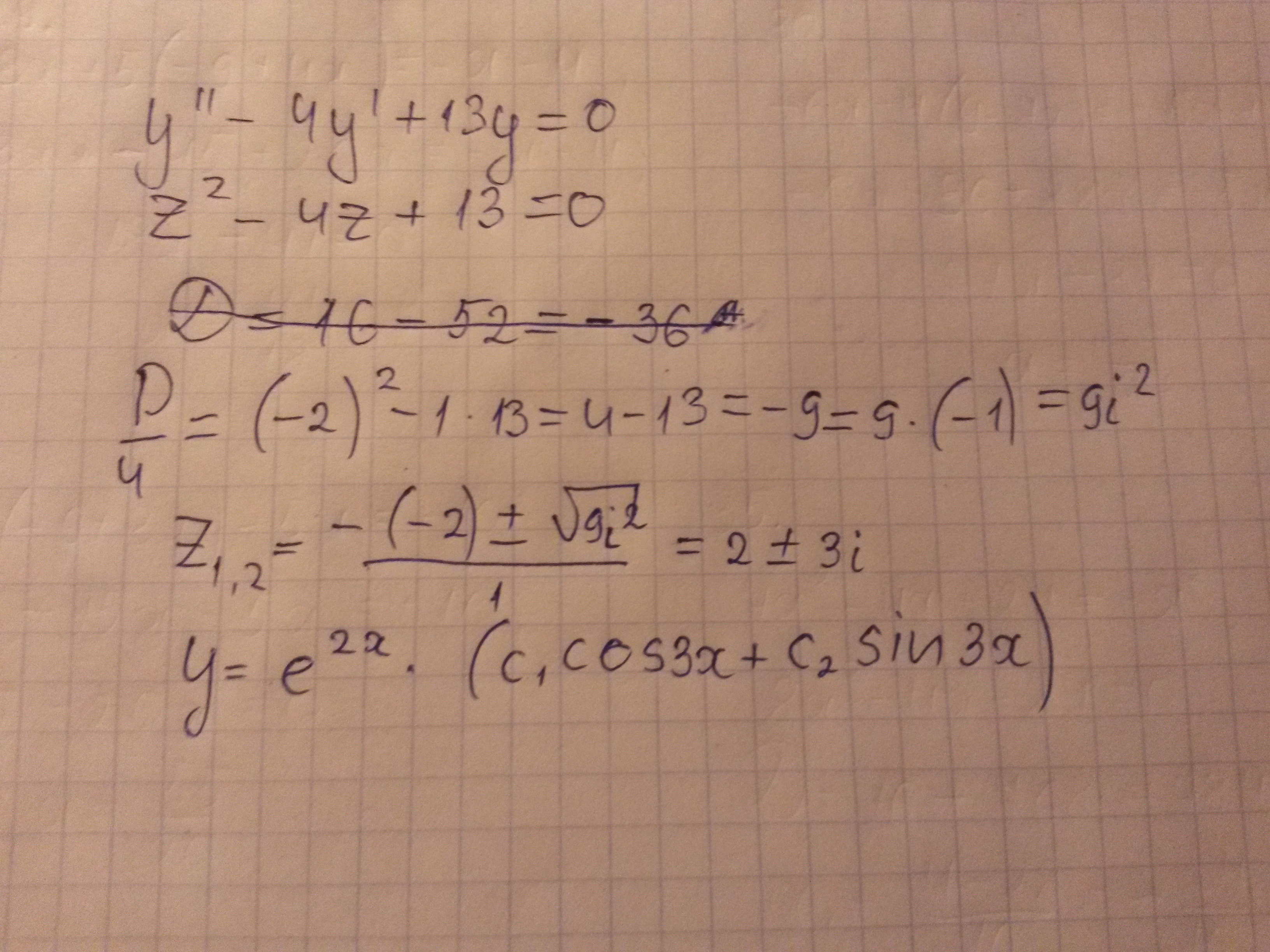
Решить уравнение y''-4y'+13y=0 Срочно Помогите

Ответы

Ответ дал: Abrams977
0
вот ответ на ваш вопросик
Приложения:
Ответ дал: Abrams977
0
характеристич уравнение
Ответ дал: TheRayJay
0
Буква j что обозначает?
Ответ дал: rdolzhnov
0
там может через дискриминант,сначала вынести у
Приложения:
Вас заинтересует