Ответы
Ответ дал:
0
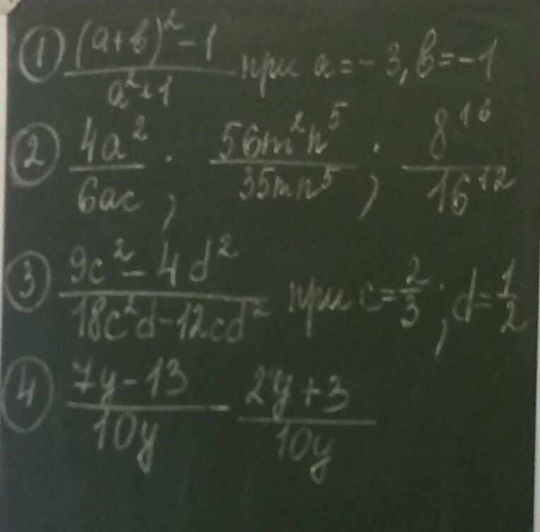
Первое
((a+b)^2-1)/(a^2+1)
(a^2+2ab+b^2-1)/(a^2+1)
(9+6+1-1)/(9+1)
15/10=1.5
Второе
Там не видно значение переменных.
Я решу последнее из второго
8^16/16^12
8^4/16
4096/16=256
Третье
(9*с^2-4*d^2)/(18*c^2*d-12*c*d^2)
((3c-4d)(3c+4d))/(3cd(6c-4d))
((2-2)(2+2))/(нет смысла тут считать, тк наверху получается ноль)
0/на любое число=0
Ответ 0
Чевертое не вижу переменных, но сокращу
((7y-13)-(2y+3))/10y
(7y-13-2y-3)/10y
(5y-16)/10y
((a+b)^2-1)/(a^2+1)
(a^2+2ab+b^2-1)/(a^2+1)
(9+6+1-1)/(9+1)
15/10=1.5
Второе
Там не видно значение переменных.
Я решу последнее из второго
8^16/16^12
8^4/16
4096/16=256
Третье
(9*с^2-4*d^2)/(18*c^2*d-12*c*d^2)
((3c-4d)(3c+4d))/(3cd(6c-4d))
((2-2)(2+2))/(нет смысла тут считать, тк наверху получается ноль)
0/на любое число=0
Ответ 0
Чевертое не вижу переменных, но сокращу
((7y-13)-(2y+3))/10y
(7y-13-2y-3)/10y
(5y-16)/10y
Вас заинтересует
2 года назад
2 года назад
7 лет назад
7 лет назад
10 лет назад