• Предмет: Алгебра
  • Автор: Drau94
  • Вопрос задан 11 лет назад

Решите пожалуйста)) это очень легко для таких экспертов которые тут сидят)))

Приложения:

Ответы

Ответ дал: Savceonok
0

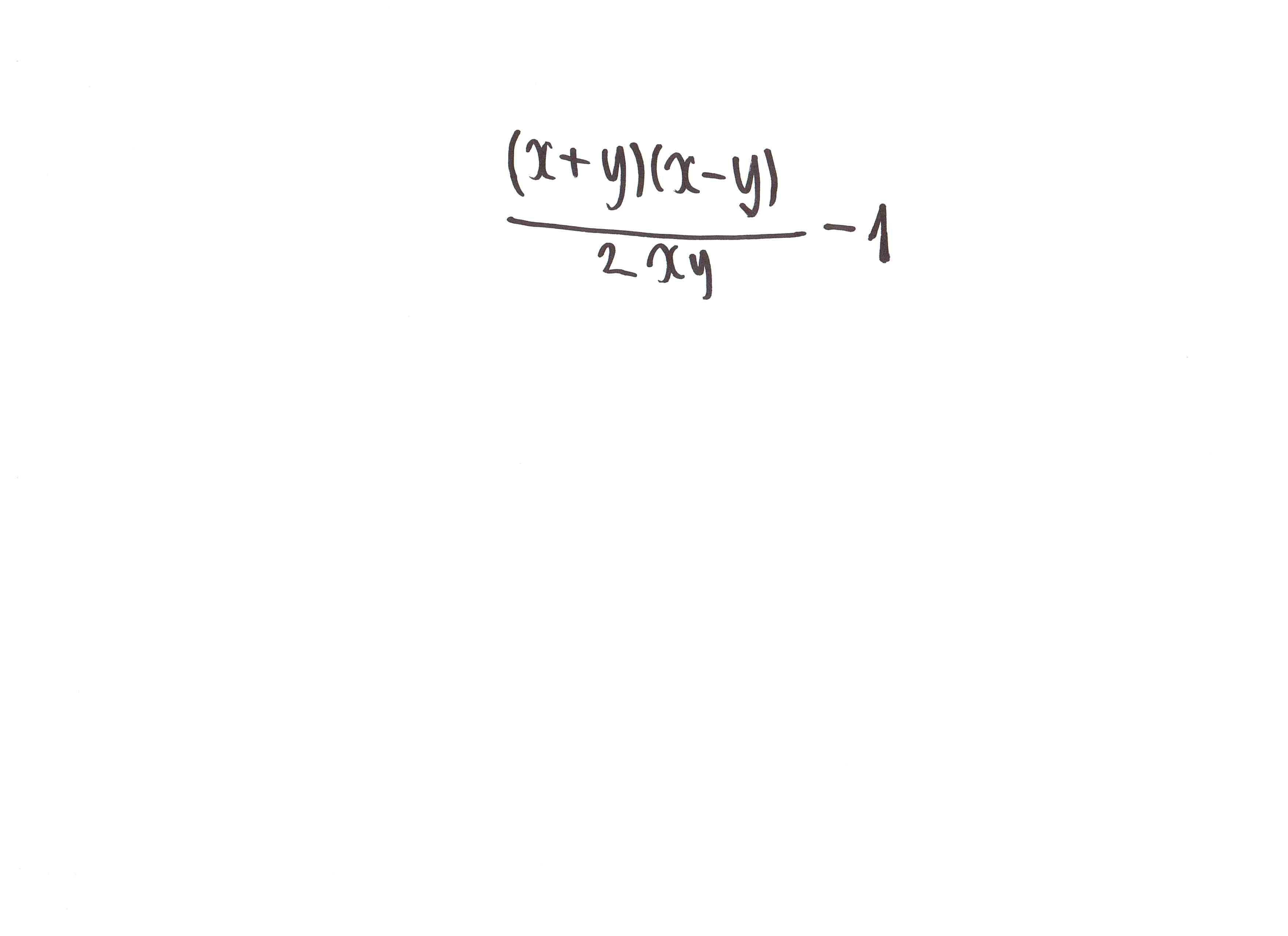
x^2-y^2/2xy - 1    умножили на 2xy чтобы сократить дробь

 

x^2-y^2-2xy

 

 

Вас заинтересует