МНОГО БАЛЛОВ
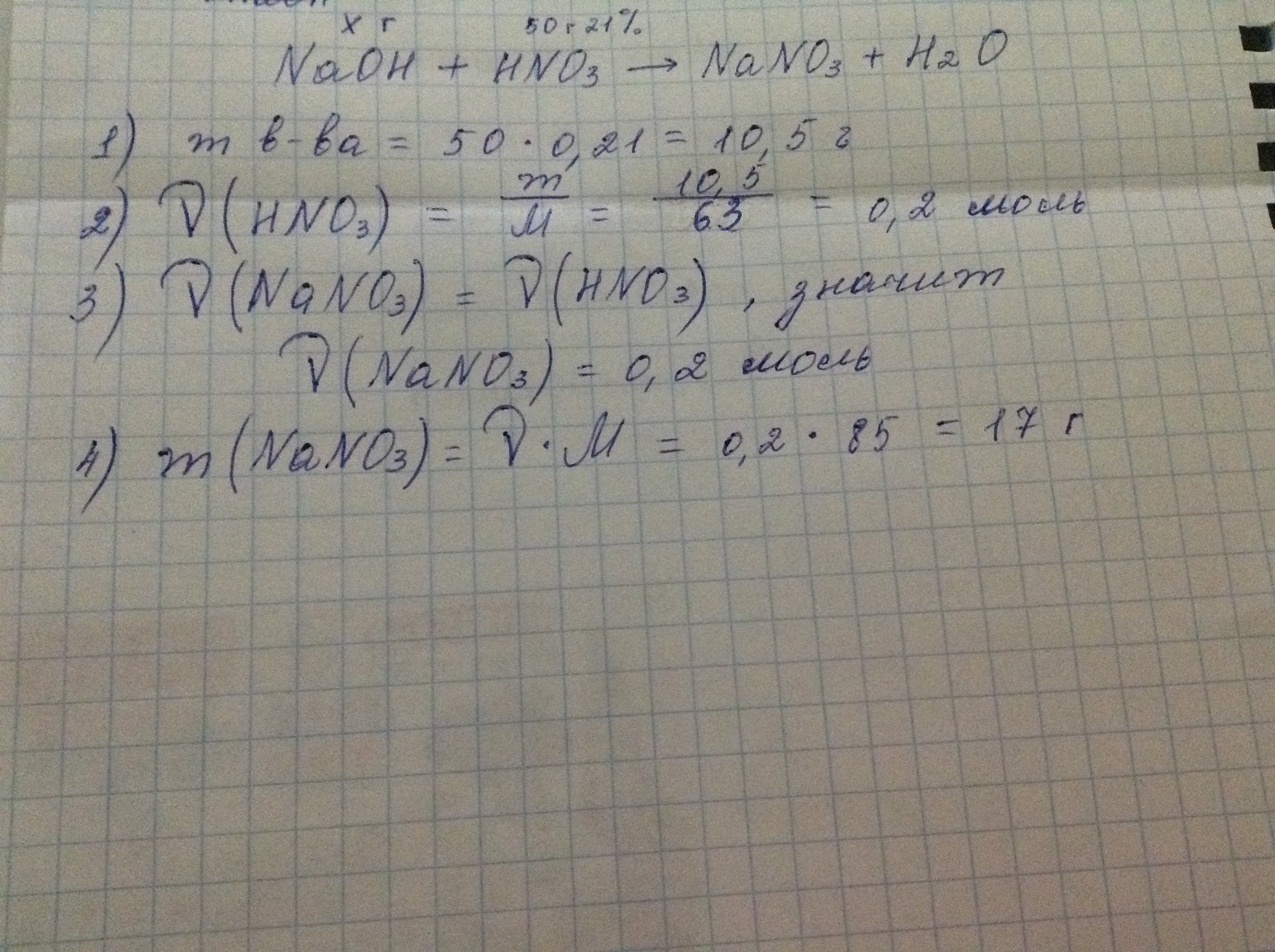
Определите массу соли, получившиеся в результате реакции нейтрализации раствора, содержащего гидроксид натрия, раствором азотной кислоты, масса которого 50 грамм. Массовая доля кислоты в данном растворе составляет 21%
Ответы
Ответ дал:
0
Реакция нейтрализации - это ракция между основанием и кислотой, при котором образуется соль и вода.
М(HNO3) = 1+ 14+ (16*3)= 63
M(NaNO3)= 23+14+(16*3)= 85
М(HNO3) = 1+ 14+ (16*3)= 63
M(NaNO3)= 23+14+(16*3)= 85
Приложения:

Ответ дал:
0
огромное спасибо!
Вас заинтересует
2 года назад
7 лет назад
9 лет назад
9 лет назад
10 лет назад