Ответы
Ответ дал:
0
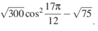
√300 *cos²17π/12 -√75 = √(100*3) *cos²17π/12 -√(25*3) =
10√3 *(1 +cos 2*17π/12) /2 - 5√3 =5√3 + 5√3*cos(17π/6) - 5√3 =
5√3*cos(3π - π/6) = 5√3 *( -cosπ/6) = 5√3* (√3 /2 ) =15/2 =7,5.
* * * *
!!! cos²α =(1+cos2α) / 2 и cos(k*π -α) = - cosα , если k нечетное число.
cos(k*π -α) =cos( (2m-1)π -α) =cos(2πm -(π +α) )=cos(π +α) = - cosα.
----
cos(3π - π/6) =cos(2π +π - π/6) = cos(π - π/6)= - cos π/6 = - √3 / 2.
10√3 *(1 +cos 2*17π/12) /2 - 5√3 =5√3 + 5√3*cos(17π/6) - 5√3 =
5√3*cos(3π - π/6) = 5√3 *( -cosπ/6) = 5√3* (√3 /2 ) =15/2 =7,5.
* * * *
!!! cos²α =(1+cos2α) / 2 и cos(k*π -α) = - cosα , если k нечетное число.
cos(k*π -α) =cos( (2m-1)π -α) =cos(2πm -(π +α) )=cos(π +α) = - cosα.
----
cos(3π - π/6) =cos(2π +π - π/6) = cos(π - π/6)= - cos π/6 = - √3 / 2.
Ответ дал:
0
Там же квадрат косинуса
Ответ дал:
0
5√3 *( -cosπ/6) = 5√3* -(√3 /2 ) =-15/2 =-7,5
Ответ дал:
0
только минус конечно же в скобках
Ответ дал:
0
и квадрат тут совсем ни при чем))))
Ответ дал:
0
OK ! -7,5 . не беда .
Ответ дал:
0
Ответ ответ ответ ответ ответ ответ
Приложения:
Ответ дал:
0
cos5pi/6=-корень из 3/2
Вас заинтересует
2 года назад
2 года назад
7 лет назад
7 лет назад
10 лет назад
10 лет назад