• Предмет: Алгебра
  • Автор: KAKOYNIKPRIDUMAT
  • Вопрос задан 9 лет назад

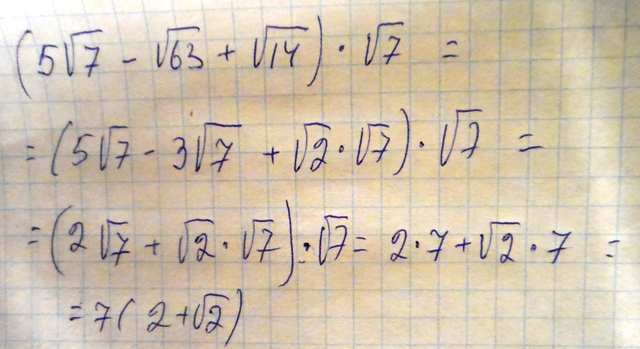
(5 корень из 7 - корень из 63 + корень из 14) х корень из 7 помогите решить пожалуйста

Ответы

Ответ дал: miron2077
0
!!!!!!!!!!!!!!!!!!!!!
Приложения:
Вас заинтересует