• Предмет: Математика
  • Автор: Аноним
  • Вопрос задан 9 лет назад

Помогите с решениям

Приложения:

Ответы

Ответ дал: GrigoriyAbramov322
0
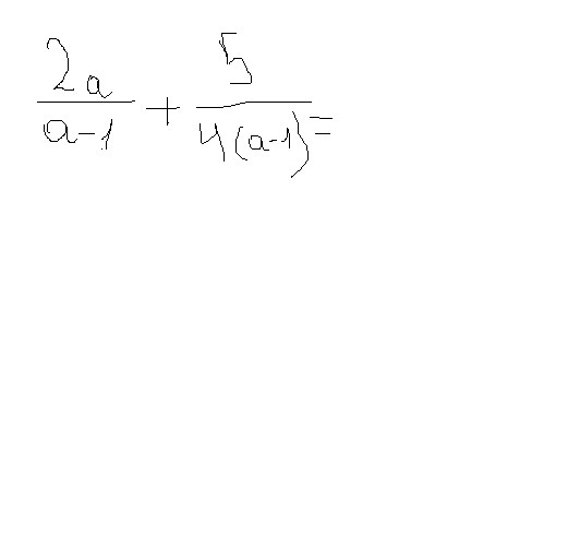
2a/a-1+5/4(a-1)=8a+5/4(a-1)
/- Деление (дроби)
Вас заинтересует