Ответы
Ответ дал:
0
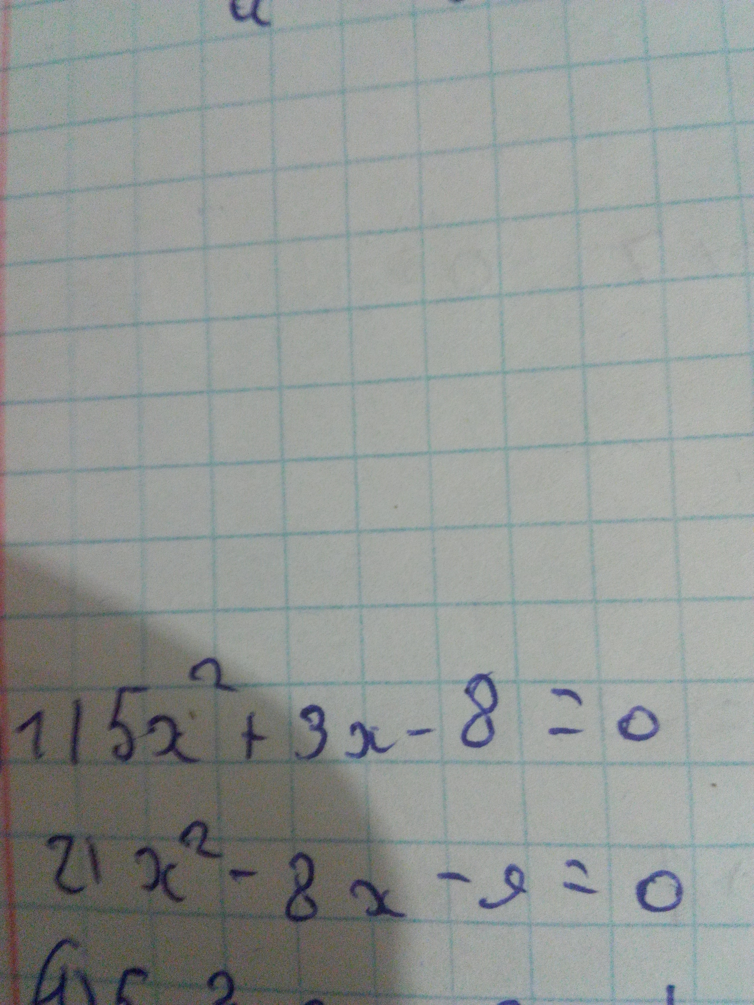
5x²+3x-8=0
D=b²-4ac=9-(4*5*(-8))=9+160=169=13²
x₁=(-b+√D)/2a=(-3+13)/10=1
x₂=(-b-√D)/2a=(-3-13)/10=-16/10=-1,6
Ответ: -1,6; 1
D=b²-4ac=9-(4*5*(-8))=9+160=169=13²
x₁=(-b+√D)/2a=(-3+13)/10=1
x₂=(-b-√D)/2a=(-3-13)/10=-16/10=-1,6
Ответ: -1,6; 1
Ответ дал:
0
5x²+3x-8=0
D=9+160=169
x1+(-3-13)/10=-1,6
x²=(-3+13)/10=1
D=9+160=169
x1+(-3-13)/10=-1,6
x²=(-3+13)/10=1
Вас заинтересует
2 года назад
2 года назад
7 лет назад
10 лет назад
10 лет назад
10 лет назад