• Предмет: Математика
  • Автор: простСАНЯ
  • Вопрос задан 9 лет назад

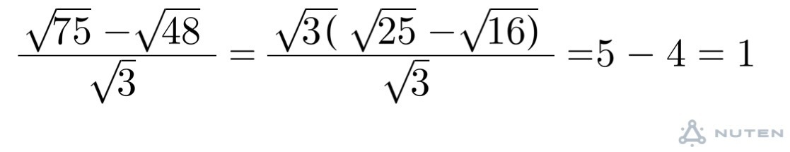
найдите значения. корень-V V15-V48дробь V3

Ответы

Ответ дал: Петросян4
0
———————————————
———————————
Приложения:
Ответ дал: простСАНЯ
0
а стойте у меня ошибка там не 15 а 75
Ответ дал: простСАНЯ
0
можете как небуть перерешать с заменай v15 на v75
Ответ дал: Петросян4
0
Уже.
Ответ дал: простСАНЯ
0
спосибо большоею
Ответ дал: простСАНЯ
0
большое*)
Вас заинтересует