• Предмет: Алгебра
  • Автор: nekrasovvanech
  • Вопрос задан 9 лет назад

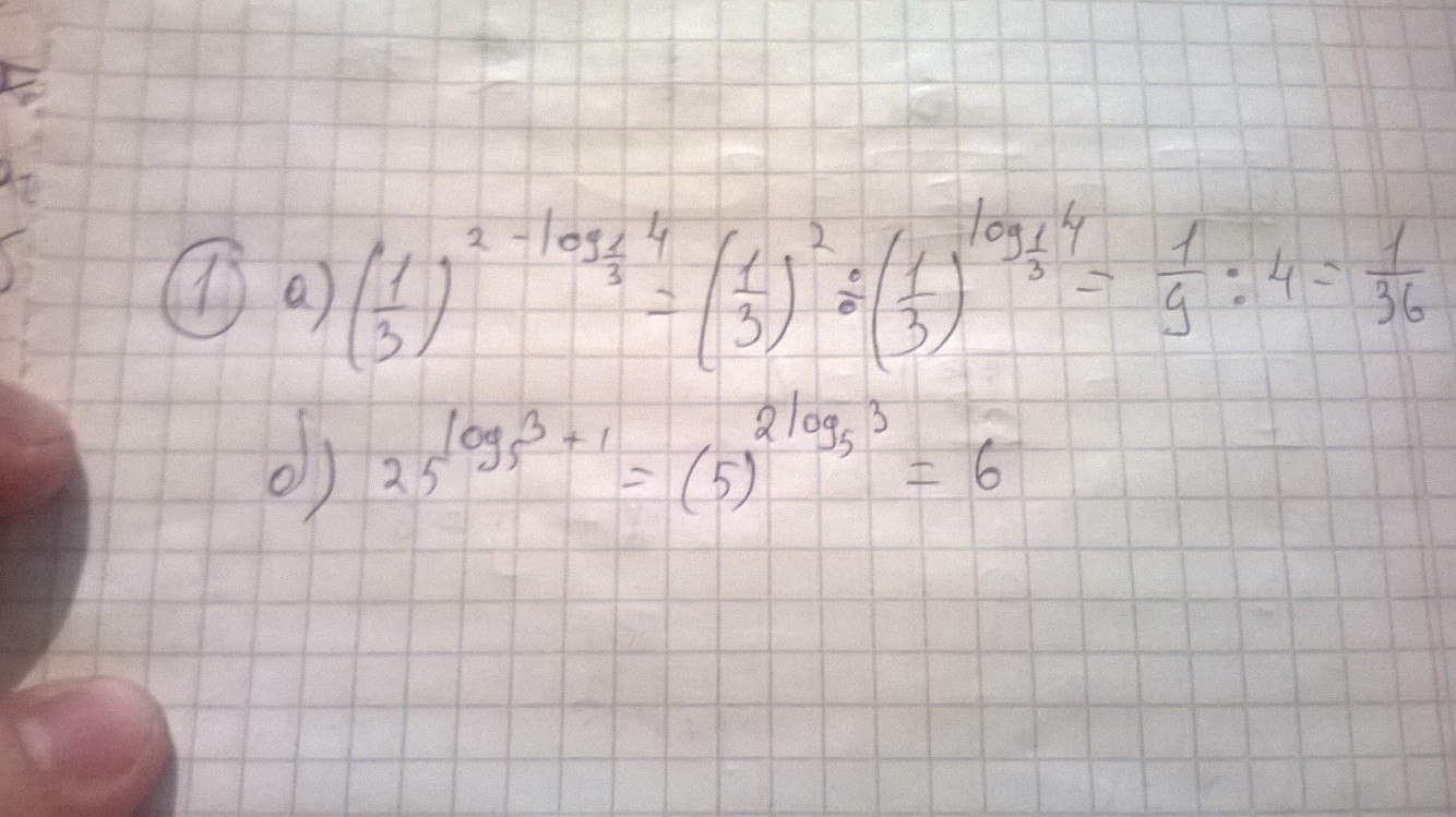
Прошу помочь с решением

Приложения:

Ответы

Ответ дал: pavlush98
0
Как-то так. X в степени логарифм Y по основании X равен Y
Приложения:
Ответ дал: pavlush98
0
Точнее даже не так
Ответ дал: pavlush98
0
будет 6*25=150
Ответ дал: pavlush98
0
вот это точно
Ответ дал: nekrasovvanech
0
Можешь помочь с другим номером?
Ответ дал: nekrasovvanech
0
https://znanija.com/task/22092251
Вас заинтересует