Ответы
Ответ дал:
0
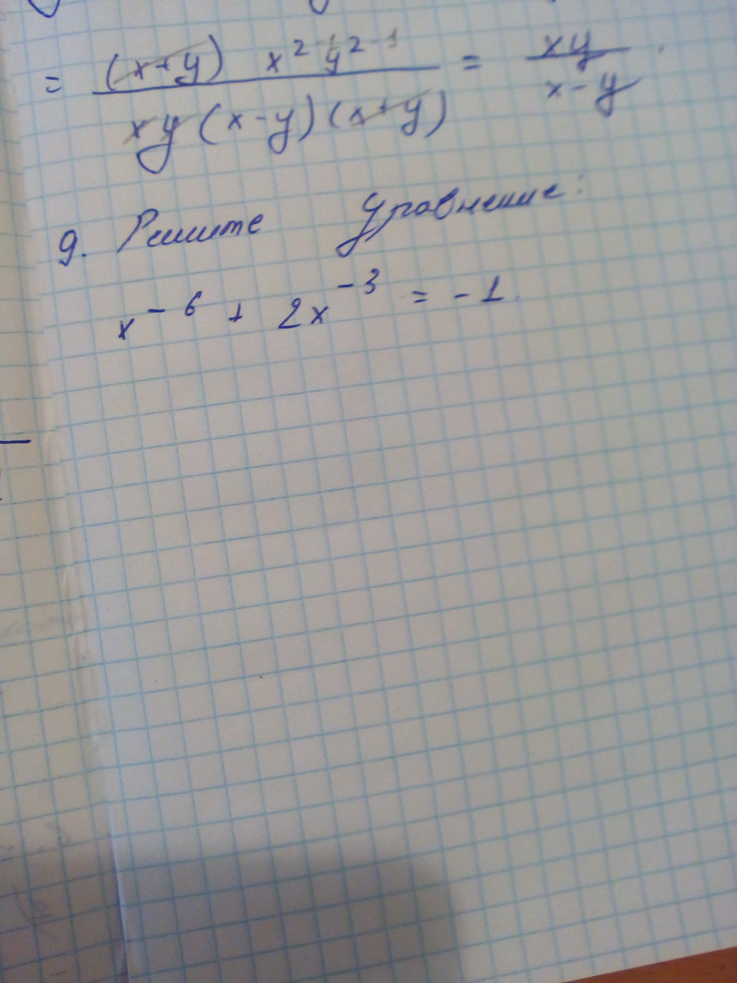
x⁻⁶+2x⁻³=-1
x⁻⁶+2x⁻³+1=0
(x⁻³+1)²=0
x⁻³+1=0
x³=-1
x=-1
x⁻⁶+2x⁻³+1=0
(x⁻³+1)²=0
x⁻³+1=0
x³=-1
x=-1
Ответ дал:
0
Спасибо, но уже поздно
Вас заинтересует
2 года назад
2 года назад
7 лет назад
7 лет назад
10 лет назад
10 лет назад
10 лет назад
10 лет назад