• Предмет: Алгебра
  • Автор: AIiCa
  • Вопрос задан 9 лет назад

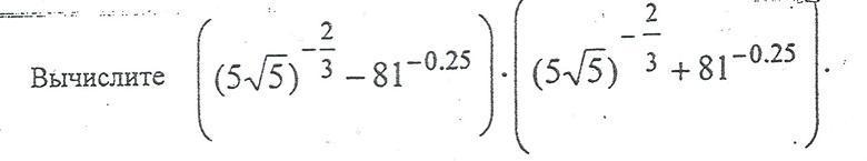
Кто решит пример?очень надо

Приложения:

Ответы

Ответ дал: ВладимирБ
0
Решение смотри в приложении
Приложения:
Вас заинтересует