• Предмет: Математика
  • Автор: Aaasssskkeeeddd
  • Вопрос задан 9 лет назад

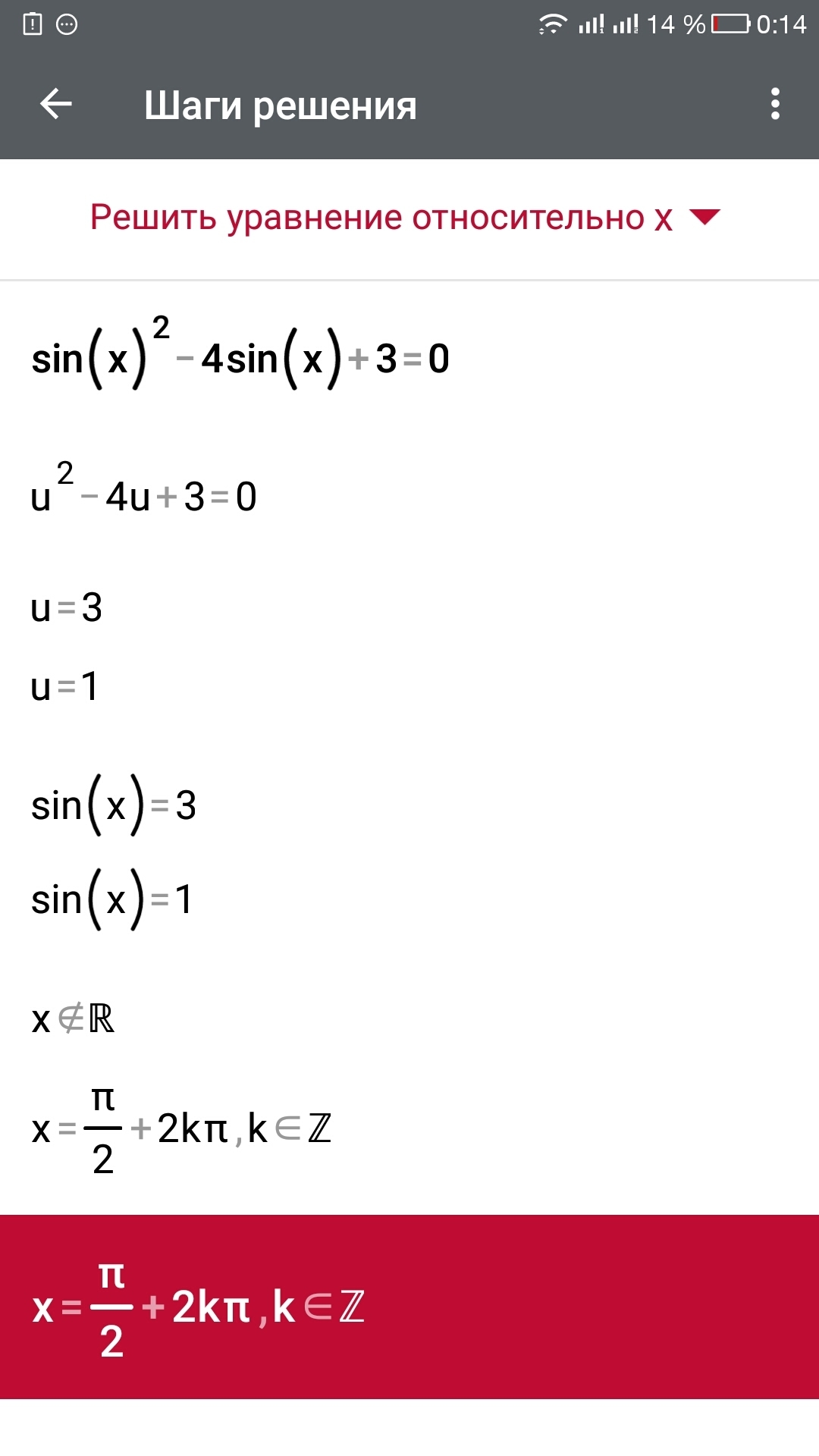
sin²x-4sinx+3=0
Помогите пожалулйста

Ответы

Ответ дал: kir1542
0
На.....,............... . .......
Приложения:
Ответ дал: maus1234
0
не знаю решаете вы так!!!
Приложения:
Ответ дал: Aaasssskkeeeddd
0
Спасибо большое )
Ответ дал: maus1234
0
нету за что!!!!
Вас заинтересует