• Предмет: Алгебра
  • Автор: Аноним
  • Вопрос задан 9 лет назад

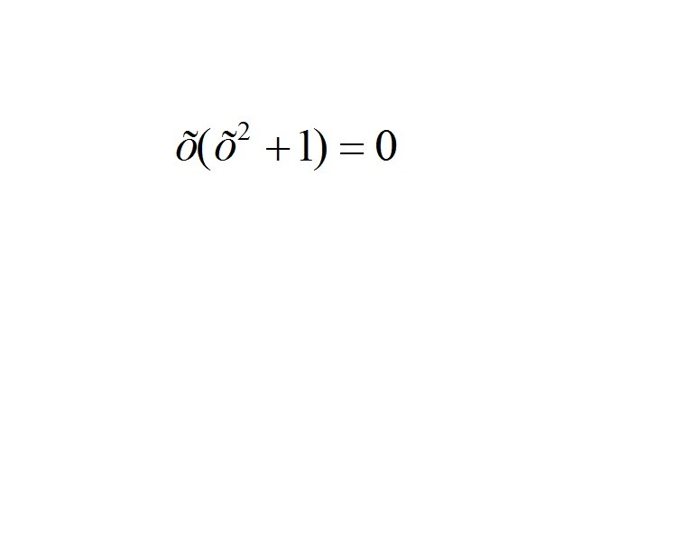
Корнем уравнения является число:
а) 1
б) -1
в) 0

Приложения:

Ответы

Ответ дал: SVETA1951TIT
0
ответ в) нуль, так как В*(В²+1) =0
                                     В =0     или  В²+1 =0
                                                          В² = -1 нет решения 

поэтому корень только один, В=0
Ответ дал: Аноним
0
СПАСИБО!!
Ответ дал: SVETA1951TIT
0
)))
Ответ дал: Аноним
0
лучший ответ! (потом отмечу)
Вас заинтересует