• Предмет: Математика
  • Автор: ilya1499
  • Вопрос задан 9 лет назад

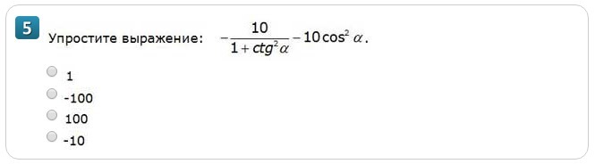
Помогите, пожалуйста, с тригонометрией. Упростите выражение:

Приложения:

Ответы

Ответ дал: Аноним
0
- 10 / (1/sin²α) - 10 cos²α = - 10 sin²α - 10 cos²α = - 10 (sin²α + cos²α) = - 10
Ответ дал: ilya1499
0
Благодарю!
Ответ дал: Аноним
0
Пожалуйста!
Вас заинтересует