Ответы
Ответ дал:
0
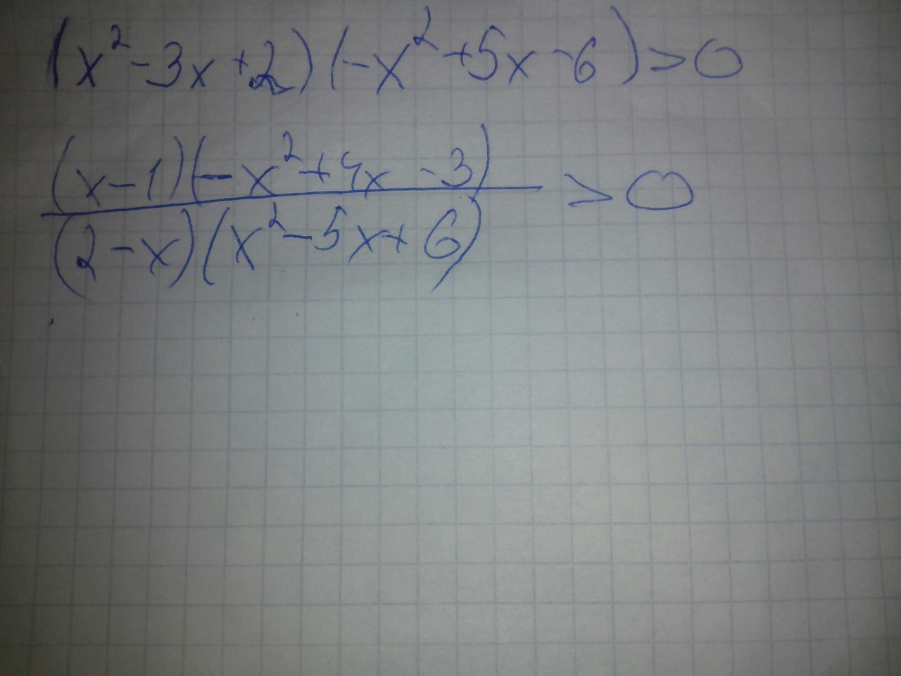
(x² -3x +2)(-x² +5x -6) > 0⇔(x² -3x +2)(x² -5x +6) < 0 ⇔(x -1)(x-2)(x -2)(x-3)< 0 ⇔
(x -1)(x-2)²(x-3)< 0
---------( 1) /////////// (2 )/////////////// (3) ------------
ответ : x∈( 1 ;2) ∪ (2 ; 3) .
------
(x-1)(-x² +4x -3) / (2-x)(x² -5x+6) >0 ⇔(x-1)(x² -4x+3) / ( x-2) (x² -5x +6) > 0⇔
(x-1) (x-1)(x-3) / (x-2)(x-2)(x-3) > 0 ⇔(x-1)²(x-3) * (x-2)² (x-3) >0
(x-1)²(x-2)² (x-3)² <0 ⇔ ( (x-1)(x-2) (x-3) ) ² > 0 ⇒
ответ : x ∈ (-∞ ; 1) ∪(1 ;2) ∪(2 ;3) ∪(3 ;∞).
* * * кроме x = 1 ;2 ; 3 .
(x -1)(x-2)²(x-3)< 0
---------( 1) /////////// (2 )/////////////// (3) ------------
ответ : x∈( 1 ;2) ∪ (2 ; 3) .
------
(x-1)(-x² +4x -3) / (2-x)(x² -5x+6) >0 ⇔(x-1)(x² -4x+3) / ( x-2) (x² -5x +6) > 0⇔
(x-1) (x-1)(x-3) / (x-2)(x-2)(x-3) > 0 ⇔(x-1)²(x-3) * (x-2)² (x-3) >0
(x-1)²(x-2)² (x-3)² <0 ⇔ ( (x-1)(x-2) (x-3) ) ² > 0 ⇒
ответ : x ∈ (-∞ ; 1) ∪(1 ;2) ∪(2 ;3) ∪(3 ;∞).
* * * кроме x = 1 ;2 ; 3 .
Ответ дал:
0
спасибо огромное!!!
Вас заинтересует
2 года назад
7 лет назад
7 лет назад
10 лет назад