• Предмет: Химия
  • Автор: supermaran
  • Вопрос задан 9 лет назад

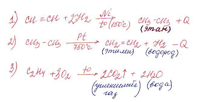
НАПИШИТЕ УРАВНЕНИЕ ХИМИЧЕСКИХ РЕАКЦИЙ ДЛЯ СЛЕДУЮЩИХ ПРЕВРАЩЕНИЙ И И ДАЙТЕ НАЗВАНИЯ ПРОДУКТАМ РЕАКЦИИ
C2H2-C2H6-C2H4-CO2

Ответы

Ответ дал: AlexHiMiK
0
Решение задания. Желаю удачи)

Приложения:
Вас заинтересует