• Предмет: Алгебра
  • Автор: кака154
  • Вопрос задан 9 лет назад

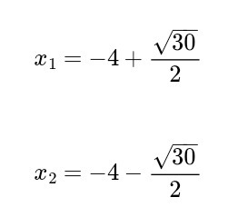
решите уравнение (x+3)^2 + (x-4)^2 = 2(4-x)(x+3)

Ответы

Ответ дал: Умный0021
0
скачать предложение решить уравнение по шагам а ты можешь любое уравнение решить при помощи этого предложения
A так
.....
Приложения:
Вас заинтересует