• Предмет: Алгебра
  • Автор: Катенек
  • Вопрос задан 9 лет назад

сделайте кто может плизззз очень нужен ответ

Приложения:

Ответы

Ответ дал: Pololo22FBI
0
будет 15 ,
а что под тетрадной inglish делает ?
Ответ дал: pyatin2010
0
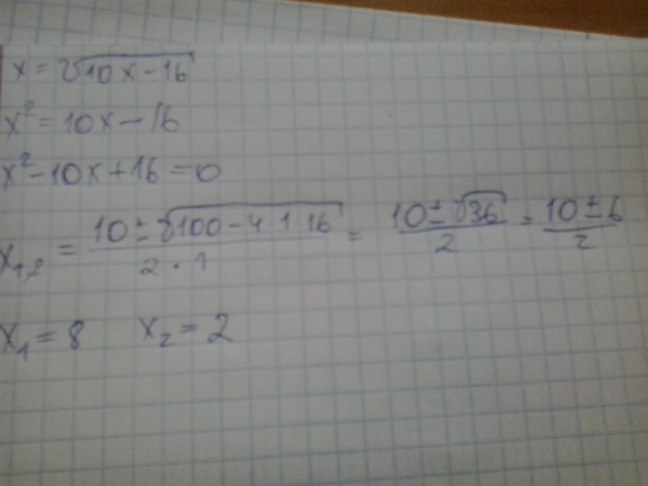
x1=8, x2=2
Ответ дал: Катенек
0
прохожу аттестатцию и по этому должна по всем готовиться сперва алгебра, а потом английский язык
Ответ дал: Катенек
0
отправте фото решения кто может буду ооочень рада зарание благодарю
Ответ дал: pyatin2010
0
x1=8, x2=2 да там все легко
Приложения:
Ответ дал: Катенек
0
меня на этой теме не была так что это простое для меня как темный лес а так вы не думайте что я плохо знаю алгебру я с алгеброй дружу но в этот раз получилась так что я оооочень много пропустила
Ответ дал: pyatin2010
0
Как то так))
Вас заинтересует