не игнорируйте пожалуйста! я не могу сделать и ответы не найду! тему не знаю... прошууу
Приложения:
Ответы
Ответ дал:
0
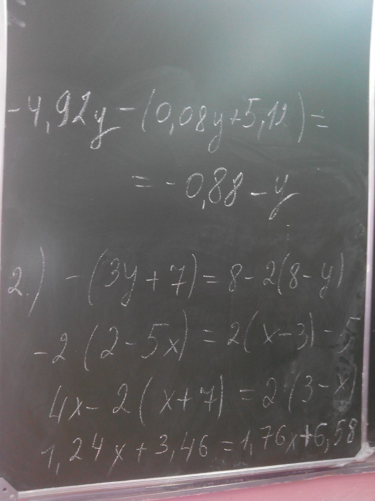
2) 1)-3у-7=8-16+2у
-у=-1
у=1
2) -4+10х=2х-6-5
8х=-7
х=-7/8
3)4х-2х-14=6-2х
4х=20
х=5
4)-0,52х=3,12
х=6
-у=-1
у=1
2) -4+10х=2х-6-5
8х=-7
х=-7/8
3)4х-2х-14=6-2х
4х=20
х=5
4)-0,52х=3,12
х=6
Ответ дал:
0
в п.4 там -6, кстати
Ответ дал:
0
сейчас 1 напишу
Ответ дал:
0
хорошо
Ответ дал:
0
-4,92у-0,08у-5,12=-0,88-у; -4у=4,24; у=1,06
Ответ дал:
0
спасибо. только вот мне бы не ответы те которые, а решение..
Вас заинтересует
3 года назад
3 года назад
7 лет назад
10 лет назад
10 лет назад