• Предмет: Алгебра
  • Автор: SAHARIA
  • Вопрос задан 9 лет назад

Помогите найти решение:

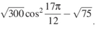
Приложения:

Ответы

Ответ дал: Dassveta
0
=√75(2cos²17π/12-1)=5√3(cos34π/12)=5√3cos(2π+56π)=-5√3cos(π/6)=-5*3/2=-7,5
Ответ дал: SAHARIA
0
Спасибочки :3
Вас заинтересует