• Предмет: Алгебра
  • Автор: иван11042002
  • Вопрос задан 9 лет назад

помогите 215 номер Пожалуйста

Приложения:

Ответы

Ответ дал: mrharrison
0
Правильный ответ: 2.
Приложения:
Ответ дал: иван11042002
0
спасибо тебе огромное)
Ответ дал: ЕкарныйБабай
0
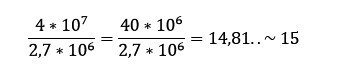
плотность = количество делить на площадь
4 * 10^7 / (2.7 * 10^6)= 40 / 2.7 = 14,81 примерно 15 человек 
ответ 2
Приложения:
Вас заинтересует